Abstract
Background:
Patients with TP53 MUT MDS/AML experience poor clinical outcomes with high rates of disease recurrence and short overall survival (OS). Characterization of these individuals' post-HCT mortality is uniquely challenging due to competing risks from disease relapse and treatment toxicity. Transplant registries contain high-level outcomes data, however, there is a lack of detailed data in molecularly defined subsets of diease. This analysis was undertaken to bridge this gap.
Methods:
Allogeneic HCT recipients between 1/2014 and 12/2018 were retrospectively studied. Key inclusion criteria were TP53 MUT by NGS or deletion of chromosome 17/17p by FISH/cytogenetics. The primary outcome of non-relapse mortality (NRM) was defined as death from any cause other than disease with relapse as competing risk. Secondary outcomes for this analysis were OS, cumulative incidence of relapse (CIR), and relapse free survival (RFS). Relapse was defined as relapse/progression with NRM as competing risk.
Results:
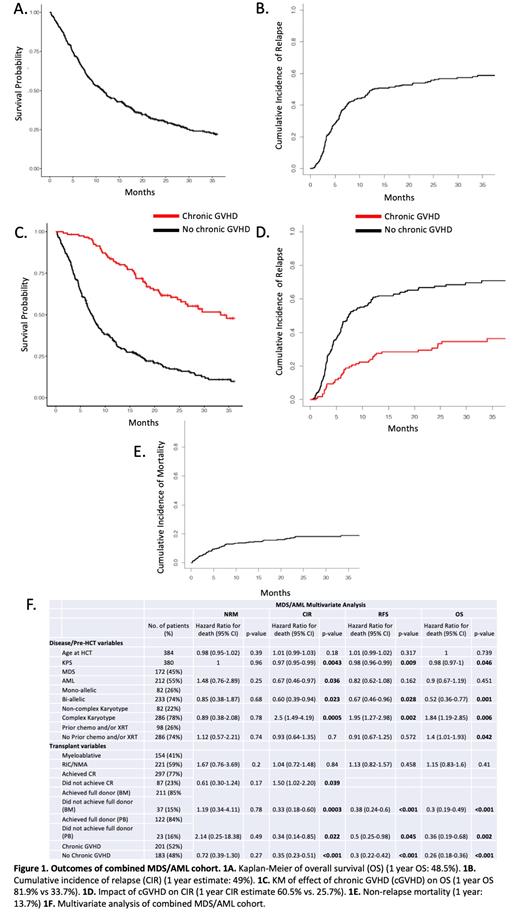
384 TP53 MUT MDS/AML patients were analyzed. 55% of patients were transplanted for AML, 41% received myeloablative conditioning (MAC), 39% had secondary MDS/AML, and 26% received prior chemo and/or radiation therapy (XRT). Median time from HCT to last follow-up was 321 days (range 8-2,385 days). Mutational data was available in 264 patients and cytogenetic data was available in 368 patients; 78% of patients had a complex karyotype (CK), 82% had TP53 missense mutations, and 74% had bi-allelic targeting of the TP53 gene. The incidence of all-grade acute and chronic GVHD (cGVHD) was 52% and 31%, respectively. One and 2 year OS was 48.5% and 30.9%, respectively. Estimated CIR at 1 and 2 years was 49% and 54.9%, respectively. The 1 year NRM was 13.7% and 2 year NRM was 18.1%.
In multivariate analysis (MVA), there was no association between NRM and the clinical, molecular, or genetic features of TP53 MUT MDS/AML. HCT diagnosis of MDS (HR: 0.67, 95% CI: 0.46-0.97, p: 0.036), mono-allelic TP53 MUT (HR: 0.6, 95% CI: 0.39-0.94, p: 0.023), achievement of full donor PB chimerism (HR: 0.33, 95% CI: 0.14-0.85, p: 0.022), BM chimerism (HR: 0.33, 95% CI: 0.18-0.60, p: 0.003), and cGVHD (HR: 0.35, 95% CI: 0.23-0.51, p: <0.001) correlated with lower rates of relapse while CK predicted for increased relapse (HR: 2.5, 95% CI: 1.49-4.19, p: 0.001). Inferior OS was associated with CK (HR: 1.84, 95% CI: 1.19-2.85, p: 0.006) and history of prior chemo/XRT (HR: 1.84, 95% CI: 1.01-1.93, p: 0.006) whereas high KPS (HR: 0.98, 95% CI: 0.97-1, p: 0.046), mono-allelic TP53 mutations (HR: 0.52, HR: 0.36-0.77, p: 0.001), full donor PB chimerism (HR: 0.36, 95% CI: 0.19-0.68, p: 0.002), BM chimerism (HR: 0.3, 95% CI: 0.19-0.49, p: <0.001), and cGVHD (HR: 0.36, 95% CI: 0.18-0.36, p: <0.001) were associated with improved OS.
In subgroup analysis, history of chemo and/or XRT increased NRM in AML (HR: 4.24, 95% CI: 1.35-13.39, p: 0.014). Pre-HCT TP53 MUT persistence by NGS (HR: 3.59, 95% CI: 1.43-9, p: 0.007) predicted for post-HCT relapse whereas pre-HCT CR (HR: 2.93, 95% CI: 1.54-5.59, p: 0.001) and full donor BM chimerism (HR: 0.14, 95% CI: 0.05-0.38, p: <0.001) were associated with lower rates of relapse. High KPS (HR: 0.96, 95% CI: 0.98-0.99, p: 0.021) and cGVHD (HR: 0.3, 95% CI: 0.16-0.56, p: <0.001) corresponded with improved OS. Prior chemo/XRT was associated with shorter OS (HR: 2.11, 95% CI: 1.06-4.18, p: 0.033)
No significant NRM associations were identified in MDS. CK (HR: 5.04, 95% CI: 1.95-13.01, p: <0.001) and RIC/NMA conditioning intensity (HR: 2.54, 95% CI: 1.26-5.1, p: 0.009) increased risk of post-HCT relapse while full donor BM chimerism (HR: 0.15 95% CI: 0.08-0.31, p: <0.001), full donor PB chimerism (HR: 0.17, 95% CI: 0.17, p: <0.001), and cGVHD (HR: 0.17, 95% CI: 0.07-0.42, p:<0.001) reduced this risk. OS was improved with mono-allelic mutations (HR: 0.54, 95% CI: 0.32-0.96, p: 0.034), full donor BM (HR: 0.24, 95% CI: 0.12-0.71, p: <0.001), PB (HR: 0.29, 95% CI: 0.09-0.3, p: 0.007) chimerism, and cGVHD (HR: 0.16, 95% CI: 0.09-0.3, p: <0.001).
Conclusions:
From this large multi-institutional cohort of TP53 MUT myeloid neoplasms, we report a low NRM rate, likely due to high rates of post-HCT relapse/progression. These data demonstrate associations between bi-allelic TP53m/CK and post-HCT outcomes. Our work highlights the importance donor chimerism after HCT and provides new understanding of the importance of chronic GVHD in TP53 MUT MDS/AML.
Byrne: Karyopharm: Research Funding. Logan: Amgen, Pfizer, AbbVie: Consultancy; Pharmacyclics, Astellas, Jazz, Kite, Kadmon, Autolus, Amphivena: Research Funding. Lee: CareDx: Membership on an entity's Board of Directors or advisory committees; Kadmon: Membership on an entity's Board of Directors or advisory committees; Kite: Membership on an entity's Board of Directors or advisory committees; Fresensius Kabi: Consultancy; Jazz,: Consultancy; Incyte: Research Funding. Goodman: Seattle Genetics: Consultancy, Speakers Bureau; EUSA Pharma: Consultancy, Honoraria. Gill: Interius Biotherapeutics: Current holder of stock options in a privately-held company, Research Funding; Novartis: Other: licensed intellectual property, Research Funding; Carisma Therapeutics: Current holder of stock options in a privately-held company, Research Funding. Jimenez: Takeda: Research Funding; AbbVie: Research Funding. Metheny: Pharmacosmos: Honoraria; Incyte: Speakers Bureau. Bhatnagar: Pfizer: Honoraria; Celgene: Honoraria; Novartis: Honoraria; Astellas: Honoraria; Cell Therapeutics: Honoraria, Research Funding; Kite: Honoraria; Karyopharm: Honoraria, Research Funding; Sumitomo Dainippon Pharma: Research Funding. Hamilton: Syndax: Membership on an entity's Board of Directors or advisory committees; Equilium: Membership on an entity's Board of Directors or advisory committees. Mishra: Novartis: Research Funding. Savona: BMS-Celgene: Consultancy, Membership on an entity's Board of Directors or advisory committees; CTI: Consultancy, Membership on an entity's Board of Directors or advisory committees; Karyopharm: Consultancy, Current equity holder in publicly-traded company, Membership on an entity's Board of Directors or advisory committees; Geron: Consultancy, Membership on an entity's Board of Directors or advisory committees; NOVARTIS: Consultancy, Membership on an entity's Board of Directors or advisory committees; Ryvu: Consultancy, Membership on an entity's Board of Directors or advisory committees; Sierra Oncology: Consultancy, Membership on an entity's Board of Directors or advisory committees; Taiho: Consultancy, Membership on an entity's Board of Directors or advisory committees; TG Therapeutics: Consultancy, Membership on an entity's Board of Directors or advisory committees, Research Funding; Takeda: Consultancy, Membership on an entity's Board of Directors or advisory committees, Research Funding; ALX Oncology: Research Funding; Astex: Research Funding; Incyte: Research Funding.

This feature is available to Subscribers Only
Sign In or Create an Account Close Modal